[LÍPIDOS] [CLASIFICACIÓN] [LÍPIDOS SAPONIFICABLES] [LÍPIDOS ANFIPÁTICOS]


GLICEROLÍPIDOS

Están formados por glicerol esterificado en posiciones sn-1 y sn-2 con ácidos grasos. El OH del carbono sn-3 del glicerol puede estar esterificado:

 

 

 

 

 

 

 

 

 

 

 

 

 

 

 

 

 

 

 

 

 

GLICOGLICEROLÍPIDOS


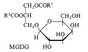
Son lípidos compuestos por glicerol, ácidos grasos y un azúcar. En ellos, el glicerol está esterificado en los C1 y C2 a ácidos grasos (el ácido linolénico es uno de los más abundantes). El grupo OH del C3 del glicerol forma parte de un enlace glicosídico con el grupo OH en posición 1 de un monosacárido. En algunos casos, el componente glicosídico de la molécula es un disacárido o un trisacárido.

Uno de los más abundantes es el b-galactosildiacilglicerol (Figura de la derecha), que está presente en las membranas de los cloroplastos.

 

 

 

 

 

 

 

 

 

 

 

 

 

 

 

 

 

 

 

 

 

FOSFOGLICEROLÍPIDOS


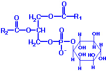
También llamados fosfolípidos. En ellos, los C1 y C2 del glicerol se encuentran esterificados a ácidos grasos. El C3 del glicerol se encuentra esterificado a su vez, con ácido ortofosfórico. Esta molécula es el ácido fosfatídico (Figura inferior, que no muestra los hidrógenos), y puede considerarse como la molécula a partir de la cual se construyen los distintos tipos de fosfoglicerolípidos. El ácido fosfatídico puede estar esterificado a un segundo alcohol, originando distintos tipos de fosfolípidos.

ácido fosfatídico (dimiristoil)
Esquema general de un fosfoglicerolípido

Cuando el segundo alcohol es un alcohol nitrogenado como la colina, la etanolamina o el aminoácido serina se obtienen, respectivamente, la fosfatidilcolina (también llamada lecitina), la fosfatidiletanolamina (o cefalina) y la fosfatidilserina.

fosfatidilcolina (PC) = lecitina
fosfatidiletanolamina (PE) = cefalina
fosfatidilserina (PS)
 

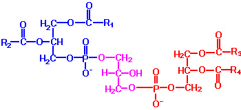
El segundo alcohol puede ser un polialcohol cíclico, como el inositol, con lo que se origina un fosfoinosítido o fosfatidilinositol. Estos lípidos forman parte de las membranas, y al ser atacados por las fosfolipasas, liberan inositol fosfato, una molécula que actúa como segundo mensajero en la acción hormonal. El segundo alcohol puede ser otra molécula de glicerol, con lo que se originan los fosfatidilgliceroles. Puede darse el caso de que el grupo fosfato del ácido fosfatídico esté esterificado con otra molécula de fosfatidilglicerol, con lo cual se tiene un difosfatidilglicerol (o cardiolipina). Son especialmente abundantes en las membranas bacterianas y en la membrana interna mitocondrial. Otros compuestos pueden ser considerados como derivados de los fosfoglicerolípidos.

fosfatidilinositol (PI)
fosfatidilglicerol (PG)
difosfatidilglicerol (DPG) = cardiolipina

Los fosfoglicerolípidos pueden perder uno de sus ácidos grasos, dando lugar a un lisofosfoglicerolípido (también llamado lisolecitina). Las lisolecitinas tienen actividad detergente, y destruyen con facilidad las estructuras de membrana. La figura inferior de la izquierda corresponde a la lisofosfatidilcolina y la figura inferior de la derecha a la lisofosfatidiletanolamina (los átomos de hidrógeno no aparecen representados).

lisofosfatidilcolina
lisofosfatidiletanolamina

 

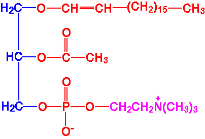
En algunos casos, los radicales grasos en posición sn-1 y sn-2 del glicerol no aparecen en forma de éster. Cuando los radicales grasos son aldehídos, forman con el glicerol enlaces del tipo 1-alquenil-éter, dando lugar a los llamados plasmalógenos. Los plasmalógenos son especialmente abundantes en las membranas del retículo sarcoplásmico. La figura de la derecha corresponde al factor activador de las plaquetas (PAF), un plasmalógeno de colina en el que el C2 del glicerol está esterificado con ácido acético en lugar de con un ácido graso.

 

En otros casos, son alcoholes grasos los que se unen al glicerol mediante enlaces de tipo éter, dando lugar a los eterfosfátidos (figura de la izquierda). Este tipo de derivados se encuentra en la membrana plasmática de bacterias termófilas y halófilas, y es extraordinariamente resistente a las reacciones de hidrólisis.