[HIDRATOS DE CARBONO] [CLASIFICACIÓN] [POLISACÁRIDOS DERIVADOS]


POLÍMEROS R AMIFICADOS DE ESTRUCTURA COMPLEJA

Forman parte de la pared celular de las Eubacterias. Según la estructura de la pared bacteriana, las eubacterias se clasifican en Gram-positivas y Gram-negativas, en función de que den positivo o no a un procedimiento de tinción desarrollado por el microbiólogo danés Gram (1853-1938).

Tipo de bacteria
Gram (+)
Gram(-)

Composición

Peptidoglicano

Peptidoglicano

Aspecto de las bacterias al microscopio óptico

Aspecto de la pared celular al microscopio electrónico

 

 

 

 

 

 

 

 

 

 

 

 

 

 

 

 

 

 

 

 

 

 

 

 

 

 

PEPTIDOGLICANOS


Los peptidoglicanos mejor estudiados son los que aparecen en bacterias Gram-positivas. Su estructura es la de una trama de estructuras polisacáridas paralelas constituídas por residuos alternativos de N-acetilglucosamina y N-acetilmurámico. Estas cadenas están unidas covalentemente a un tetrapéptido (segmento de 4 aminoácidos) de composición variable, pero que se caracteriza por poseer D-aminoácidos. Los distintos tetrapéptidos están unidos entre sí a través de puentes de pentaglicina (pentapéptido formado por 5 glicinas), dando lugar a una estructura rígida y covalente en forma de jaula que rodea la totalidad de la célula, y que hace del peptidoglicano una de las moléculas de mayor tamaño que se conocen.

disacárido + tetrapéptido
puentes de pentaglicina
Peptidoglicano (2D)
Peptidoglicano (3D)

La acción de antibióticos como la penicilina y la cefalosporina se basa en el hecho de que impiden la síntesis del peptidoglicano, y por tanto, de la pared bacteriana.

 

 

 

 

 

 

 

 

 

 

 

 

 

 

 

 

 

 

 

 

ÁCIDOS TEICOICOS


Junto a los peptidoglicanos, forman parte de la pared de bacterias Gram-positivas. Son polímeros de N-acetilglucosamina, un polialcohol y fosfato. El polialcohol (marcado en la figura como alditol) puede ser glicerol o ribitol, y se une mediante enlaces éster con el ácido fosfórico, formando una cadena lineal. Los hidroxilos libres del polialcohol se unen covalentemente a monosacáridos simples o derivados, o a D-aminoácidos. Los ácidos teicoicos se unen covalentemende al ácido murámico y pueden así conectar diversas capas de peptidoglicano.

 

 

 

 

 

 

 

 

 

 

 

 

 

 

 

 

 

 

 

 

LIPOPOLISACÁRIDOS


Los lipopolisacáridos (LPS), junto a los peptidoglicanos, forma parte de la pared de bacterias Gram-negativas. Tienen carácter anfipático, presentan carga negativa, y repelen moléculas hidrofóbicas. Son tóxicos para el hombre, y también se llaman endotoxinas.

El LPS se compone de dos partes:

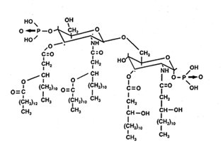
  1. El lípido A está formado por dos N-acetilglucosaminas (NAG) fosforiladas unidas con 6 ó 7 cadenas saturadas de ácido graso, que sirven para anclar toda la estructura en la membrana externa de las bacterias Gram-negativas. La figura de la derecha muestra la estructura del lípido A en la enterobacteria Escherichia coli.

  2. Una cadena de polisacárido compleja, en la que se distinguen dos zonas:

    • un núcleo formado por ácido 2-ceto-3-deoxioctonoico (KDO), heptosa, glucosa y glucosamina, que está unida a una de las NAG del lípido A

    • antígeno-O: una serie de 3 a 5 monosacáridos que se repiten (hasta 40 veces, en algunos casos), y que es distinta según las especies. Es el causante de la respuesta inmunológica que provocan estas bacterias.