[HIDRATOS DE CARBONO] [CLASIFICACIÓN] [POLISACÁRIDOS DERIVADOS]


POLÍMEROS LINEALES FORMADOS POR DOS MONÓMEROS: GLICOSAMINOGLICANOS

Los glicosaminoglicanos son polisacáridos propios de los tejidos animales de origen mesodérmico (conjuntivo, óseo, cartilaginoso), de los que forman parte importantísima la matriz extracelular. A diferencia de los polisacáridos vistos hasta ahora, presentan una elevada densidad de carga eléctrica negativa. Normalmente forman un copolímero del tipo ABABAB..., que puede considerarse como la repetición de un disacárido.

A continuación vamos a detallar:

ASPECTOS GENERALES DE LOS GLICOSAMINOGLICANOS

GLICOSAMINOGLICANOS DE INTERÉS BIOLÓGICO

 

 

 

 

 

 

 

 

 

 

 

 

 

 

 

 

 

 

 

 

 

 

 

 

 

 

 

 

ASPECTOS GENERALES DE LOS GLICOSAMINOGLICANOS


Su estructura química es muy variada, pero reúnen algunas características comunes que conviene destacar:

1.- En casi todos, la unidad repetitiva básica es un disacárido, formado por un ácido urónico (D-glucurónico o L-idurónico) unido por un enlace (13) a un aminoazúcar (N-acetilglucosamina o N-acetilgalacatosamina). Este disacárido se une al siguiente por un enlace (14). Son, por tanto, cadenas lineales donde alternan enlaces (13) con enlaces (14).

2.- Los residuos monosacáridos presentan grados variables de sulfatación. El sulfato esterificado a los OH alcohólicos aumenta el carácter polianiónico de estos polisacáridos.

3.- Con la excepción del ácido hialurónico, se presentan unidos covalentemente a proteínas, formando los proteoglicanos (también llamados mucopolisacáridos). No hay que confundir proteoglicano con glicoproteína. En los primeros, el componente glicídico es superior al 90%, mientras que en las segundas oscila entre el 5 y el 70%. La unión a la proteína es normalmente del tipo O-glicosídico, y en ella interviene un trisacárido formado por dos galactosas y una xilosa (Ver figura inferior). Sólo en el caso del queratan sulfato, la unión es del tipo N-glicosídico.

4.- La configuración general de los proteoglicanos admite tres tipos:

  • pequeño, donde una o dos cadenas de glicosaminoglicano se unen a una proteína de tipo globular
  • grande, donde 10-20 cadenas de glicosaminoglicano se unen a una proteína de tipo fibroso con un dominio globular en el extremo
  • muy grande, donde 100 cadenas polisacáridas se unen a una proteína de tipo fibroso con uno o dos dominios globulares en uno de sus extremos.
pequeño
grande
muy grande

 

 

 

 

 

 

 

 

 

 

 

 

 

 

 

 

 

 

 

 

 

 

 

 

 

 

GLICOSAMINOGLICANOS DE INTERÉS BIOLÓGICO


ÁCIDO HIALURÓNICO

CONDROITÍNSULFATO A

CONDROITÍNSULFATO B

CONDROITÍNSULFATO C

QUERATÁN SULFATO

HEPARÁN SULFATO

HEPARINA

 

 

 

 

 

 

 

 

 

 

 

 

 

 

 

 

 

 

ÁCIDO HIALURÓNICO


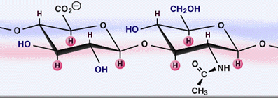
Está formado por ácido glucurónico y N-acetilglucosamina. Es el glicosaminoglicano de mayor peso molecular (hasta 2 X 107 dalton). Se encuentra en abundancia en el humor vítreo del ojo, en el líquido sinovial de las articulaciones y en la matriz extracelular de los tejidos de origen mesodérmico. No está sulfatado, y no está unido a proteínas.
La carga negativa de los residuos de ácido glucurónico produce una repulsión electrostática que extiende la cadena en un espacio máximo, sin una estructura determinada (se dice que es un polímero estadístico extendido) . Su abundancia de cargas negativas determina que esté extraordinariamente hidratado. Es una verdadera "esponja molecular". Además, la presencia de ácido hialurónico en la matriz extracelular impide o dificulta la difusión de macromoléculas a su través. Por este motivo, se comporta como una eficaz barrera contra la difusión de macromoléculas. La particular virulencia de agentes patógenos como Clostridium histolyticum (causante de la gangrena gaseosa) se debe a que produce el enzima hialuronidasa, que degrada el ácido hialurónico y facilita la extensión de la infección.

 

 

 

 

 

 

 

 

 

 

 

 

 

 

 

 

 

 

 

CONDROITÍNSULFATO A


Está formado por unos 40-60 residuos de ácido glucurónico y N-acetilgalactosamina 4-sulfato (figura de la derecha). Presenta la configuración de tipo pequeño. La presencia del sulfato aumenta la densidad de cargas negativas, y su bajo peso molecular no impide la difusión de macromoléculas. Abunda en el tejido cartilaginoso, y es responsable de su elasticidad y de su resistencia a la compresión y a la tracción. También está presente en los huesos y en las válvulas del corazón.

 

 

 

 

 

 

 

 

 

 

 

 

 

 

 

 

 

 

 

 

CONDROITÍNSULFATO B



Está formado por ácido glucurónico y N-acetilgalactosamina 6-sulfato. Se encuentra asociado al condroitinsultafo A.

 

 

 

 

 

 

 

 

 

 

 

 

 

 

 

 

 

 

 

 

 

 

CONDROITÍNSULFATO C



También llamado dermatán sulfato. Está formado por ácido L-idurónico y N-acetilgalactosamina 6-sulfato. Está presente en la piel, los vasos sanguíneos y válvulas del corazón.

 

 

 

 

 

 

 

 

 

 

 

 

 

 

 

 

 

 

 

 

 

QUERATÁN SULFATO


El disacárido básico es D-galactosa y N-acetilgalactosamina 6-sulfato (figura de la derecha, que no representa los átomos de hidrógeno). Puede contener proporciones variables de otros monosacáridos (fucosa, manosa, ácido siálico o galactosamina). Suele estar presente en tejidos avasculares o de difícil oxigenación: la córnea o los discos intervertebrales.

 

 

 

 

 

 

 

 

 

 

 

 

 

 

 

 

 

 

HEPARÁN SULFATO



Consta de ácido D-glucurónico o L-idurónico y N-acetilglucosamina. Puede estar sulfatado en diversas posiciones.

 

 

 

 

 

 

 

 

 

 

 

 

 

 

 

 

 

 

 

HEPARINA


Parecida al heparán sulfato, pero de mayor peso molecular y con mayor grado de sulfatación. Destaca por sus propiedades anticoagulantes.

Heparina (2D)
Heparina (3D)