[HIDRATOS DE CARBONO] [CLASIFICACIÓN]

POLISACÁRIDOS SIMPLES

Están formados por la unión de más de 20 monosacáridos simples. Según su función, se dividen en dos grupos:

  1. los que tienen función de reserva: almidón, glucógeno y dextranos

  2. Los que tienen función estructural: celulosa y xilanos

 

 

 

 

 

 

 

 

 

 

 

 

 

 

 

 

 

 

 

 

ALMIDÓN


Constituye la forma más generalizada, aunque no la única, de reserva energética en vegetales. Se almacena en forma de gránulos, y puede llegar a constituir hasta el 70% del peso de granos (maíz y trigo) o de tubérculos (patata). El análisis minucioso de la estructura del almidón demuestra que es una mezcla de otros dos polisacáridos: la amilosa y la amilopectina. La proporción de ambos polisacáridos varía según la procedencia del almidón, pero por lo general, la amilopectina es la más abundante. Los almidones constituyen la principal fuente de nutrición glicídica para la humanidad. El almidón puede ser degradado por muchas enzimas. En los mamíferos, estas enzimas se llaman amilasas, y se producen sobre todo en las glándulas salivares y en el páncreas.

La amilosa es un polímero lineal formado por 250-300 unidades de a-D-glucopiranosa, unidas exclusivamente por enlaces (1a®4). La amilosa se disuelve fácilmente en agua, adquiriendo una estructura secundaria característica, de forma helicoidal, en la que cada vuelta de la hélice comprende 6 unidades de glucosa:

Amilosa (en 2 y en tres dimensiones)

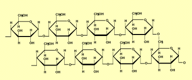
La amilopectina es un polímero ramificado, compuesto por unas 1000 unidades de a-D-glucopiranosa. Además de las uniones (1a®4) contiene uniones (1a®6). Las uniones (1a®6) están regularmente espaciadas (cada 25-30 residuos de glucosa), y son los puntos por donde se ramifica la estructura. Cada rama contiene únicamente uniones (1a®4):

 

 

 

 

 

 

 

 

 

 

 

 

 

 

 

 

 

 

 

 

 

 

 

GLUCÓGENO


Es el polisacárido de reserva propio de los tejidos animales. Se encuentra en casi todas las células, pero en los hepatocitos y en las células musculares su concentración es muy elevada. Su estructura es similar a la de la amilopeptina, pero con ramificaciones más frecuentes (cada 8-12 monómeros de glucosa), y su peso molecular es mucho más elevado (de hasta varios millones de dalton):

glucógeno (2-D)
glucógeno (3-D)

El mayor grado de ramificación del glucógeno es una adaptación a su función biológica. El enzima encargado de la degradación del glucógeno es la glucógeno fosforilasa, que empieza a degradar el glucógeno a partir de sus extremos no reductores, atacando las uniones (1a®4). Así, cuantas más ramificaciones haya en la molécula, mayor será el número de puntos posibles de ataque por parte del enzima, y la movilización de las reservas energéticas será más rápida.

 

 

 

 

 

 

 

 

 

 

 

 

 

 

 

 

 

 

 

DEXTRANOS


Son polisacáridos de reserva producidos por ciertas bacterias. Consisten en cadenas de glucosa muy ramificadas, cuyo enlace predominante es (1a®6), pero que presenta ramificaciones (13) y (14).

 

 

 

 

 

 

 

 

 

 

 

 

 

 

 

 

 

 

 

 

 

 

 

 

 

 

 

CELULOSA


Es el principal componente de la pared celular de los vegetales. Se puede considerar como la molécula orgánica más abundante en la Naturaleza. Es un polímero lineal de varios miles de glucosas unidas por enlaces (14). Tiene una estructura lineal o fibrosa, en la cual se establecen múltiples puentes de hidrógeno entre los grupos hidroxilo de distintas cadenas yuxtapuestas, haciéndolas impenetrables al agua, y originando fibras compactas que constituyen la pared celular de las células vegetales:

Celulosa (en 2 dimensiones)
Celulosa (en tres dimensiones)
Estructura de las fibras de celulosa en vegetales
Fibras de celulosa en el papel

 

 

 

 

 

 

 

 

 

 

 

 

 

 

 

 

 

 

 

 

 

XILANOS


Están formados por unidades de D-xilosa (figura de la izquierda) y son componentes de la madera. La D-xilosa es una aldopentosa, que cuando adopta su forma cerrada da lugar a un anillo piranósico .
Los xilanos están formados por la unión de residuos de b-D-xilopiranosas mediante enlaces (14). Con frecuencia los xilanos contienen monosacáridos derivados que se unen a la xilosa mediante enlaces (12) ó (13). Estas modificaciones son características para cada tipo de madera y todas estas variantes se agrupan bajo el término de hemicelulosas. En la figura de la derecha se representa una hemicelulosa característica de maderas duras, el glucuronoxilano: Está formado por b-D-xilopiranosas unidas mediante enlaces (14), y presenta residuos de 4-O-metil-b-glucurónico unidos mediante un enlace (12).