[HIDRATOS DE CARBONO] [CLASIFICACIÓN] [MONOSACÁRIDOS SIMPLES]

MONOSACÁRIDOS SIMPLES: MUTARROTACIÓN Y ANOMERIZACIÓN

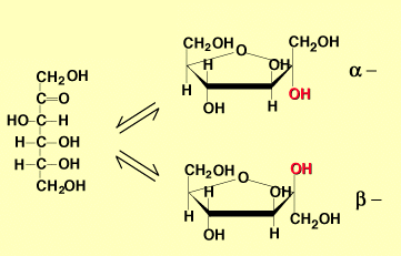
La representación de la glucosa en proyecciones lineales como la de Fischer no explica todas las características químicas de la glucosa. En primer lugar, la glucosa no da todas las reacciones propias de los aldehídos, y en segundo lugar, las disoluciones de D-glucosa presentan el fenómeno llamado mutarrotación.

Cuando se disuelve en agua la D-glucosa cristalina su poder rotatorio varía gradualmente con el tiempo, hasta alcanzar un valor estable (+52,5º). Este fenómeno se llama mutarrotación. Además, se observa que, dependiendo del proceso seguido para la cristalización de la D-glucosa, el poder rotatorio inicial difiere considerablemente. Así, la D-glucosa recristalizada de piridina tiene un poder rotatorio inicial de +112,2º mientras que la recristalizada de alcohol tiene un poder rotatorio inicial de +18,7º. Ambas disoluciones, al cabo de 24 horas tienen el mismo valor: 52,5º.

Estos datos experimentales pueden explicarse si suponemos que la glucosa en disolución forma un enlace hemiacetálico interno entre el grupo carbonilo y uno de los hidroxilos, originando una molécula cíclica (Figura de la izquierda). El enlace hemiacetálico crea un nuevo centro de asimetría en el carbono 1, con lo que cada molécula en forma abierta puede originar dos tipos de formas cerradas (tal y como podemos observar en la Figura animada), que serán epiméricas en el carbono hemiacetálico. Estos epímeros reciben el nombre de anómeros. Se distinguen los anómeros a y b, en función de que la configuración del carbono anomérico coincida o no con la del carbono que determina la pertenencia a la serie D o L. El carbono anomérico también se llama carbono reductor, aunque sus propiedades reductoras son menores que las de los aldehídos, ya que el grupo carbonilo está enmascarado por el enlace hemiacetálico. La D-glucosa recristalizada de piridina está en un 100% en configuración anomérica a, y la recristalizada de alcohol está totalmente en configuración b. En disolución, se establece un equilibrio entre ambas formas, con el intermedio de la forma abierta. Al final, aproximadamente 2/3 de las moléculas están en forma b, y el poder rotatorio alcanzado es +52,5º.

En la glucosa, el hemiacetal forma un anillo de 6 átomos (5C+O). Esta estructura recibe el nombre de glucopiranosa por su semejanza al heterociclo pirano. Cabe la posibilidad de que se forman anillos de 5 átomos (4C+O), como puede observarse en aldopentosas y cetohexosas. En este caso, se añade al nombre del azúcar el sufijo -furanosa, por semejanza con el heterociclo del furano. Ejemplos son la D-ribofuranosa y la D-fructofuranosa. Piranosas y furanosas se representan mediante proyecciones de Fischer o más frecuentemente, mediante la perspectiva de Haworth:

Formas abierta y cerrada de la glucosa
Formas abierta y cerrada de la fructosa

La relación entre ambas conformaciones es tal que lo que se representa a la derecha de la cadena de carbonos en proyección de Fischer, en la de Haworth aparece por debajo del anillo, y lo que en Fischer aparece a la izquierda, en la de Haworth aparece hacia arriba. Una excepción a esta regla es el sustituyente en el último carbono asimétrico. En este caso, el grupo -CH2OH queda por encima del anillo en proyección de Haworth. En el carbono anomérico, el OH en la forma a se representa hacia abajo, y el OH en forma b hacia arriba.