 Ratio
Demanda / Oferta:
 
 Ratio
Demanda / Oferta:
  +  Taxa d'abandonament 
 + Taxa de rendiment
 +  Taxa de graduació
 +  Percentatge d'estudiants internacionals
 +  Alumnes de pràctiques externes
 PROCEDÈNCIA 2018-19
 TITULATS PER NOTA D'EXPEDIENT
 OFERTA-DEMANDA 2018-19
 MATRÍCULA
 INDICADORS 2018-19
 
 
 
 
 
 
 
 
 
 
 
 +  Taxa d'abandonament 
 + Taxa de rendiment
 +  Taxa de graduació
 +  Percentatge d'estudiants internacionals
 +  Alumnes de pràctiques externes
 PROCEDÈNCIA 2018-19
 TITULATS PER NOTA D'EXPEDIENT
 OFERTA-DEMANDA 2018-19
 MATRÍCULA
 INDICADORS 2018-19
  Matrícula
 Activitat
 Resultats
 Titulats
 +  Promig crèdits matriculats per curs
 +  Percentatge de dones
 +  Taxa d'eficiència
 140%
 
 Matrícula
 Activitat
 Resultats
 Titulats
 +  Promig crèdits matriculats per curs
 +  Percentatge de dones
 +  Taxa d'eficiència
 140%
  +  Mitjana d'edat estudiants
 
 88%
 15%
 38,9
 0%
 82%
 44%
 88%
 34
 
 +  Mitjana d'edat estudiants
 
 88%
 15%
 38,9
 0%
 82%
 44%
 88%
 34
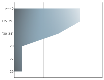
  PIRÀMIDE D'EDATS 2018-19
 
 PIRÀMIDE D'EDATS 2018-19