targeting sequence : secuencia de acceso.
IrA leader sequence.

TATA box: caja TATA.
Observación: en los organismos procariotas se conoce con el nombre de «caja Pribnow» y en los eucariotas, con el de «caja Hogness» . Ambas tienen en común el tetranucleótido TATA, de allí que se llamen a veces «cajas TATA». Véanse Hogness box, Pribnow box.

TATA element: caja TATA.
tATA box.

template strand : cadena plantilla, cadena molde.
1 Cadena de ácido nucleico que sirve de plantilla para la síntesis de una cadena de ácido nucleico complementaria.
2 En la replicación de un ácido nucleico, es cualquiera de las dos cadenas del ácido nucleico bicatenario (ADNbc, ARNbc) que, al separarse, sirve de plantilla para la síntesis de una cadena hija complementaria. Ambas cadenas de un ácido nucleico bicatenario sirven de plantilla para la síntesis de sendas hebras hijas.
3 En la transcripción, es sinónimo de «cadena no codificante». Véase noncoding strand.
Observación: aunque la expresión template strand siempre se utilizó como sinónimo de «cadena no codificante» (noncoding strand), los recientes avances y aplicaciones de la biología molecular exigen incluir aquí una acepción más amplia que tome en consideración la copia de ADN o de ARN a partir de ADN, y la de ARN o ADN a partir de ARN.

termination codon : codón de terminación, codón de finalización de lectura, codón de parada.
IrA stop codon.

terminator: terminador.
Secuencia de ADN bicatenario, contigua al extremo 3’ de un gen, que posibilita la disociación de la ARN-polimerasa de la hebra de ADN y la liberación de la hebra de ARN recién sintetizada dando por finalizada la transcripción. Sólo permite la finalización de la transcripción del gen precedente que ha sido previamente «recorrido» por la ARN-polimerasa.
Observación: en las bacterias existen dos clases de terminadores, los independientes de la proteína ρ (también llamados terminadores intrínsecos) y los dependientes de ρ. Ambos afectan a la polimerasa una vez que han sido transcritos (funcionan en el ARN y no en el ADN). En los organismos eucariotas existen terminadores específicos de las ARN-polimerasas I y III, pero los de la ARN-polimerasa II están menos caracterizados.

TGS :TGS.
IrA transcriptional gene silencing (TGS).

trailer sequence : secuencia remolque, secuencia trasera.
En los ARNm, es la secuencia de ribonucleótidos que se extiende desde el codón de terminación hasta el extremo 3’ y que, por consiguiente, no se traduce.

TRAM: TRAM.
IrA translocating chain-associated membrane protein.

transactivator: transactivador.
Activador que interacciona de forma directa con la ARN- polimerasa (sin la ayuda de coactivadores). Véase activator.

transcribed spacer : espaciador transcrito, espaciador intragénico, espaciador.
Secuencia interna de una unidad de transcripción que se transcribe y luego desaparece al madurar el ARN transcrito mediante uno o dos cortes endonucleotídicos, sin empalme ulterior de los extremos producidos. Son característicos de la maduración de los ARNr.
Observación: estos espaciadores no son intrones, pues su eliminación no trae aparejado un empalme de exones, tal como ocurre tras la escisión intrónica en el fenómeno de corte y empalme. Tampoco se ha de confundir con un espaciador intergénico. Véase non transcribed spacer y splicing.

transcribing strand : cadena no codificante.
IrA noncoding strand.

transcript : transcrito.
Molécula de ARN transcrita a partir de una hebra complementaria de ADN.
Observaciones: el DRAE recoge la palabra «transcrito» como voz grave y no esdrújula y, por lo tanto, debe llevar acento prosódico (pero no ortográfico) en la letra i.

transcription : transcripción.
Síntesis de ARN a partir de una hebra de ADN catalizada por la ARN-polimerasa con el auxilio de proteínas específicas (factores de transcripción). Comprende tres fases denominadas iniciación (initiation), elongación (elongation) y terminación (termination). En los organismos eucariotas existen tres tipos de transcripción según la ARN-polimerasa que la lleva a cabo: a) la transcripción de ARNr catalizada por la ARN-polimerasa I, b) la transcripción de ARNm catalizada por la ARN-polimerasa II, y c) la transcripción de ARNt y otros ARN pequeños catalizada por la ARN-polimerasa III. En los organismos procariotas existe sólo un tipo de transcripción y de ARN-polimerasa. Véanse DNA-directed RNA polymerase, noncoding strand y RNA-polymerase.

transcription factor: factor de transcripción.
Proteína necesaria para el inicio de la transcripción de un gen, distinta de la ARN-polimerasa. Reconoce secuencias específicas ubicadas en el interior de promotores y potenciadores y puede asociarse con la ARN-polimerasa misma o con otros factores de transcripción, o formar parte de un complejo de iniciación transcripcional únicamente en presencia de otras proteínas.

transcription start point: inicio transcripcional.
Nucleótido del ADN que marca el inicio de la cadena de ARN. Se designa con el número +1.

transcription unit : unidad de transcripción.
Segmento de ADN que se transcribe en una molécula de ARN mediante una reacción enzimática catalizada por la ARN-polimerasa.
Observación: esta expresión se utiliza mucho con referencia a los organismos procariotas, dado que en estos casos las unidades de transcripción pueden contener uno o más cistrones (es decir, varios genes). Es menos frecuente en relación con los organismos eucariotas, habida cuenta de que los genes eucarióticos son generalmente monocistrónicos (salvo quizás los genes de los ARNr), de modo que una unidad de transcripción refleja el ordenamiento de bases de un único gen. Véase cistron, gene y RNA polymerase.

transcriptional gene silencing (TGS): silenciamiento génico transcripcional.
Bloqueo de la transcripción de un gen activo debido a la presencia de secuencias homólogas (por ejemplo, ARNbc homólogos). Se acompaña de metilaciones locales, usualmente en el promotor del gen. Las metilaciones traen aparejados a su vez cambios estructurales en la cromatina, que entonces se convierte en heterocromatina y pierde la capacidad de transcribirse. Se trata de un fenómeno epigenético estable y heredable. Véase RNA interference.

transcriptional unit : unidad de transcripción.
IrA transcription unit.

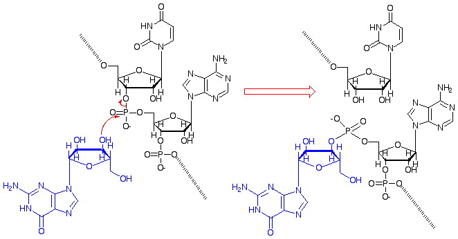
transesterification : transesterificación.
1 Reacción de un éster con un alcohol en presencia de un catalizador en la que se intercambian grupos alcohólicos –es decir, se forma un segundo éster y un segundo alcohol– sin gasto de energía:

R-CO-OR’ + R’’OH g R-CO-OR’’ +R’OH

Las enzimas que catalizan estas reacciones son proteasas (tripsina, quimotripsina, papaína, etc.) o esterasas.
2 En el ARN (véase la figura abajo), es la reacción que se produce durante el fenómeno de corte y empalme en los intrones de los grupos I, II y III; en este caso el grupo acilo es el fosfato de unión de las dos ribosas, y los alcoholes intercambiados son los del carbono 3’ de distintas moléculas de ribosa.

transfer RNA (tRNA) : ARN de transferencia (ARNt).
Pequeña molécula de ARN (de tamaño inferior a 100 nucleótidos) que actúa de intermediario en la incorporación de un aminoácido en el extremo carboxilo de un polipéptido naciente durante la síntesis de una proteína. Suele dibujarse en forma de trébol (con arreglo a su estructura secundaria), pero adopta tridimensionalmente la forma de una letra L. En uno de los extremos de la L lleva un anticodón de tres nucleótidos complementario delcodón del ARNm, y en el otro, que coincide con el extremo 3’ de la molécula, lleva unido un aminoácido por un enlace covalente de tipo éster entre el hidroxilo 3’ del ARNt y el carboxilo del aminoácido. Existe al menos un ARNt por cada aminoácido natural, aunque un mismo aminoácido es capaz de interaccionar con varios ARNt.

transformation: transformación.
Proceso de introducción de moléculas de ADN en el interior de las células bacterianas. Se realiza fundamentalmente mediante dos procedimientos distintos: con la ayuda de sustancias químicas (dimetilsulfóxido, cationes Rb+ , Ca2+ , Co2+ , etc.) o mediante electroporación.

transit peptide : péptido de tránsito.
IrA leader sequence.

transgene-induced co-suppression :cosupresión inducida por transgenes.
IrAco-suppression, RNA interference.
Observación: es un caso de ribointerferencia causada por ARNbc de origen transgénico.

transgene silencing :silenciamiento por transgenes.
IrA transgene-induced co-suppression, co-suppression.

transition: transición.
IrA base-pair substitution.

translational repression: represión de la traducción.
Regulación temporal de la expresión de un gen durante el desarrollo de un organismo eucarionte gracias a la presencia de pequeños ARN monocatenarios denominados «ARN temporales pequeños» (ARNtp), que se hibridan con los correspondientes mensajeros (ARNm) e inhiben de este modo su traducción en proteína. Véase Dicer, small temporal RNA.

translocase: translocasa, transportador.
Tiene dos significados posibles:
1 translocase: translocasa. Véase EF-G
2 transporter: transportador. Véase porter.

translocating chain-associated membrane protein: proteína de membrana asociada al polipéptido de exportación.
Proteína transmembranaria del traslocón, que reconoce la secuencia señal de la proteína en vías de exportación después del SRP y estimula el traslado de la proteína al interior del retículo endoplásmico. Véase signal recognition particle (srp), signal sequence y translocon.

translocation: translocación, traslación, traslado.
Suele traducirse de distintas maneras según el contexto de uso:
1. Biol. mol. Traslación (del ribosoma): movimiento de avance de tres nucleótidos en la cadena de ARNm que realiza el ribosoma durante la síntesis de proteínas; su finalidad es expulsar el ARNt libre del sitio P —sitio del peptidil-ARNt— para permitir el ingreso del peptidil-ARNt recién formado. Con este movimiento, el sitio A del ribosoma —sitio del aminoacil-ARNt— queda también libre y listo para recibir el aminoacil-ARNt correspondiente al próximo codón.
2. Biol. mol. Traslado (de solutos, de proteínas): movimiento general de una molécula de un lugar a otro de la célula, como puede ser el de un soluto o el de una proteína a través de una membrana celular.
3. Gen. Translocación: mutación por la cual un segmento cromosómico cambia de sitio dentro del mismo cromosoma (ubicándose en el mismo brazo o en otro brazo) o se traslada a otro cromosoma (homólogo o no homólogo). En este último caso, el traslado puede ir acompañado o no de un intercambio recíproco de segmentos entre cromosomas. La translocación no recíproca (movimiento de un segmento cromosómico hacia un lugar distinto dentro del mismo o de otro cromosoma, sin intercambio de segmentos) recibe el nombre preferente de «transposición». Véase transposition.

translocon: traslocón.
Canal de la membrana del retículo endoplásmico que sirve para trasladar una proteína del interior al exterior celular. Está formado por cinco proteínas o complejos proteicos: el complejo de reconocimiento de la señal (SRP), el receptor de dicho complejo (receptor del SRP), el complejo proteico Sec61, la proteína de membrana asociada al polipéptido de exportación (TRAM) y el complejo pentaproteico con actividad peptidasa que escinde el péptido señal.

translocator: transportador.
IrA porter.

transmembrane translocation: traslado de un lado a otro de la membrana.

transpeptidation : transpeptidación.
Reacción de hidrólisis de un enlace peptídico entre dos aminoácidos y posterior restablecimiento del enlace entre uno de ellos y un tercero sin gasto de energía. Son reacciones catalizadas por peptidil-transferasas y, a veces, autocatalíticas (es el caso de la eliminación de inteínas). Véase intein y extein.

transporter: transportador.
IrA porter.

transposable element: elemento transponible.
Secuencias de ADN con capacidad de mudarse de un sitio a otro de los genomas de los organismos eucariontes y procariontes. Se distinguen varias categorías. En los cromosomas y plásmidos de las bacterias, por ejemplo, las hay relativamente sencillas, como las denominadas «secuencias de inserción» (fragmento de ADN con el gen de la enzima transposasa responsable de la transposición), y más complejos, como son los transposones compuestos de tipo Tn, que se caracterizan por llevar información genética adicional (por ejemplo, genes de resistencia a fármacos), además de los genes para la propia transposición.
Observación: Bárbara MacClintock descubrió estos elementos en el maíz a mediados del siglo xx. Su descubrimiento, que sólo fue reconocido años más tarde, le valió el Premio Nobel de Fisiología y Medicina en 1983.

transposition: transposición.
1. Proceso de inserción de una copia de un elemento transponible en otro sitio del genoma; si la copia original permanece en el sitio de inserción primitivo se llama replicative transposition. En cambio, si el transposón se mueve como una entidad física de un sitio a otro sin duplicarse se llama nonreplicative transposition.
2. Movimiento de un segmento cromosómico hacia un lugar distinto dentro del mismo o de otro cromosoma, sin intercambios recíprocos.
3. Cambio de posición de algunos pares de bases en la misma secuencia de ADN, por ejemplo:

transposon: transposón.
IrA transposable element.

trans-splicing : transempalme, empalme en trans, transayuste, ayuste en trans.
Empalme o ayuste de exones de dos transcritos primarios distintos con la consiguiente formación de un ARNm híbrido. Véase cis-splicing.

transversion: transversión.
IrA base-pair substitution.

trigger: desencadenante, inductor.
Dícese de la biomolécula o señal que induce o desencadena un proceso celular.

triplet : triplete.
1 codon (codón) en el ARNm. Véase codon.
2 anticodon (anticodón) en el ARNt. Véase anticodon.

tRNA : ARNt.
IrA transfer RNA.

tRNAfMet: ARNtfMet.
IrA initiator tRNA.

tRNAiMet: ARNtiMet.
IrA initiator tRNA.